Condiciones personales de teletrabajo en las AAPP

Pues un mes y pico después de empezar esta investigación sobre el teletrabajo en las AAPP, llega la hora de empezar a contar algunas cosas. En principio no quería alrgar demasiado el serial, pero el número de variables que contempla el estudio (más de 120) hace casi imposible hacer algo «corto» sin perder muchos insights interesantes. Por ello, a lo largo de los próximos meses (por no saturar) iré desglosando el estudio por diferentes apartados. Mi idea es terminar el estudio antes de pasar por el grupo de control en octubre: 6 meses después cuando, ojalá aunque sea la nueva, la normalidad vuelva a nuestras vidas. En todo caso, vamos a empezar por las condiciones personales que afectan al teletrabajo.

Estas condiciones marcan el grueso de la experiencia «personal» de cada cual, lo que influye en todo lo demás. Además, nos servirá de contexto para entender los siguientes bloques. Si te vienes, te cuento lo que he visto.

Como ya dije, al final del estudio, las personas suscritas al boletín del blog(y las que han participado) recibirán una copia…Así que apuntate si aún no lo has hecho mandando tu correo en el pop-up que aparecerá ya.

El cuadro de Hercules y Atlas de Lucas Caranch ilustra este artículo sobre condiciones personales y teletrabajo en las AAPP.
Hércules explicándole a Atlas que el se ve más de teletrabajar que de ir todos los días a la ofi. Fuente

Aviso metodológico. Algunos condicionantes de la investigación

Lo primero es ser honesto y transparente. Aunque esta es la encuesta con más participación que he tenido (332 respuestas), no es una muestra «enorme». Tampoco es una selección aleatoria, se trata de personas que acceden a redes sociales y directa o indirectamente tienen contacto conmigo o con el blog. Esto acota bastante su proximidad con la tecnología. Esto explica la predominancia de grupos A1, o el mayor número de empleados de las Administraciones locales (hay más de estas, aunque sean pequeñas que de cualquier otra). Como en estudios anteriores, no podemos tomar las conclusiones como «verdades estadísticas» sino como indicios que apuntalen hipótesis y conjeturas sobre este fenómeno. Procuraré señalar los más sólidos

En segundo lugar, estamos hablando de una encuesta que, como decía un profesor mio de metodología, se basa en «confesiones». Sabemos lo que nos cuentan, y esto es lo que la gente percibe. Hay respuestas que no son tanto un reflejo de un hecho objetivo como de una percepción individual más o menos fundada en la realidad. Lo veremos en algunos aspectos que tienen más sentido analizados desde este punto de vista.

Un modelo de condiciones personales del teletrabajo.

Si recordáis, (y si no, podéis verlo aquí) mi modelo de análisis consideraba tres bloques: contexto, conocimiento y recursos. Tras el análisis de los datos, tenemos una perspectiva un poco más clara de esto. El contexto se compone de tres ejes fundamentales para clasificar los condicionantes personales del teletrabajo.

  • Aspectos estructurales. Son los que hacen referencia a espacios y condiciones físicas del trabajo, tanto en casa como en las dependencias públicas. Esto incluye tanto las instalaciones (las condiciones del entorno en el que se trabaja), el espacio de trabajo (donde se realiza el grueso de tareas) y el desplazamiento (lo que afecta exclusivamente al trabajo fuera de casa)
  • Aspecto relacionales. Son los derivados de la interacción con otras personas ya sean de la organización o fuera de ella. Incluye compañeros de trabajo, familiares, o atención al público, en el caso de que la haya. Junto a este elemento tenemos (a medias con el siguiente) los tiempos muertos.
  • Aspectos de autogestión. Afectan a la organización de tiempo y tareas que hace cada persona de manera individual. Incluye tanto los tiempos muertos (a medias con el anterior) junto con las horas suplementarias. El resto de elementos a tener en cuenta los trataremos en el siguiente artículo, centrado en la realización del trabajo a título individual.

Aspectos que influyen en las condiciones personales del teletrabajo

Existen tres bloques que afectan al estos ejes de manera diferenciada.

Condiciones demográficas

Se componen de género, edad y tener hijos a cargo y afectan a las estructuras y la autogesión. Podríamos diferenciar en realidad en tres grandes bloques:

  • Personas jóvenes, que suelen estar en edades por debajo de los 40 y no tienen hijos, sean estos hombres o mujeres.
  • Personas de mediana edad, que ya tienen una cierta permanencia en la administración (ya hablaremos de esto), posiblemente tengan hijos a cargo y tienen una cierta continuidad en su administración. Están, por así decirlo, en plena carrera profesional.
  • Seniors. Son personas que tienen más de 55 años que tienen, además de una mayor antigüedad en la administración, una vida más articulada en torno a la permanencia en su trabajo y sin hijos a cargo (o que ya tienen cierta autonomía).

Condiciones logísticas.

Las condiciones logísticas influyen en los espacios de trabajo en casa, en el puesto y, también en los elementos relacionales. Hay que considerar que hay una relación entre la edad y las condiciones logísticas. En el plano logístico podemos distinguir:

  • Personas con una débil ubicación espacial. Son personas que o no tienen casa, o tienen casas con menos espacio, o más lejanas al lugar de trabajo. Esto afecta más a administraciones en municipios grandes.
  • Personas con una articulación espacial próxima al trabajo. En este caso, tenemos personas que tienen cierta proximidad al trabajo y valoran sus instalaciones en buenas condiciones (vivienda nueva bien equipada, posiblemente).
  • Personas con un espacio consolidado. Estas personas tienen una proximidad al trabajo buena y, además, tienen un espacio disponible para trabajar bien valorado (un despacho o similar), más próximo a personas mayores de 55 años.

Un elemento transversal pero muy relevante y es el tamaño del municipio. Los municipios medianos (entre 25000 y 75000 y, ocasionalmente, hasta 500000) tienen datos interesantes. Por un lado tienen una logística mejor que la de los municipios mas grandes, pero sin los problemas organizativos de los municipios pequeños.

Condiciones profesionales.

Por último tenemos las condiciones profesionales, que marcados por el cuerpo, organización y antigüedad. Aquí tendríamos:

  • Personas que trabajan en organizaciones de tamaño mediano o grande de tipo administración (CCAA, ayuntamientos o AGE) con sedes en grandes ciudades.
  • Quienes trabajan en empresas públicas, fundaciones y universidades, que suelen moverse en grupos A o equivalentes (con puesto de licenciado.
  • Personas que trabajan en pequeños municipios y por ende, en organizaciones pequeñas.

Incidencia en los aspectos estructurales.

En el aspecto estructural, las condiciones mejoran con la edad y la veteranía. Tanto el desplazamiento al puesto de trabajo, y el espacio personal de trabajo (posiblemente por no tener que compartirlo con hijos o por tener casas más grandes), son temas mejor valorados.

Las personas más jóvenes tienen una vida menos articulada en torno a su espacio de trabajo, y las personas con más edad tendrán una mayor proximidad, aunque sea por antigüedad y permanencia. Por otro lado, estas personas (por debajo de 55 años) tienen mejores instalaciones en casa (posiblemente están en un parque de vivienda más nuevo).

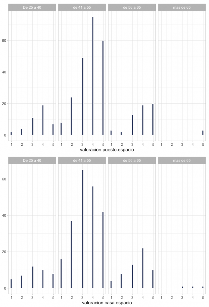
Gráfica que compara la valoración en la que se ve que los grupos má jóvenes tienen un comportamiento diferenciado al valorar el espacio de trabajo en casa, mientras que los mayores de 55 tienen valoracione similares
Comparativa de valoración de espacio de trabajo por edades en la que los perfiles mas jóvenes valoran peor el espacio de casa que el del trabajo. Elaboración propia

Esta situación lógicamente también afecta de manera negativa conforme baja el cuerpo funcionarial de adscripcion. En niveles más bajos hay menos ingresos y las condiciones de vivienda son previsiblemente peores.

Tener hijos influye positivamente en la valoración del desplazamiento. Posiblemente, la exigencia de organizar tiempos permita o bien organizar mejor los horarios, o buscar viviendas más próximas al lugar de trabajo).

Gráfica comparando los datos de gente con hijos a cargo, que valoran mejor el desplazamiento al trabajo que los que no los tienen.
Valoración de los desplazamioentos entre las personas con hijos a cargo, mayoritariamente superiores a los de quienes no los tienen. Elaboración propia

Cabe señalar los desplazamientos y espacios en municipios de tamaño medio (entre 20000 y 75000 especialmente), la valoración del desplazamiento es más positiva que en otros casos.

Las organizaciones «menos burocráticas» por así decirlo (universidades, empresas públicas y fundaciones) tienen un mejor puesto de trabajo, si bien las primeras tienen un peor desplazamiento, posiblemente por una geografía menos diversificada que otras organizaciones. Un ayuntamiento suele tener diversas dependencias, una universidad unos pocos campus.

Incidencia en los aspectos relacionales

La valoración de las interrupciones es problemática en todos los casos y perfiles. en unas condiciones en las que las personas están teletrabajando y acompañando a sus hijos e hijas en el teleaprendizaje cabría pensar en más interrupciones en casa que en el trabajo, el caso no es así.

Los problemas relacionales tienen un impacto menor entre el personal con niveles C1 y C2. Se consideran menos inconvenientes las interrupciones y tiempos muertos, mientras que en el caso de los grupos A y en los de mediana edad (los que llamamos «en plena carrera»), ambos aspectos tienen una valoración mucho más negativa en el puesto que en el resto.

Comparativa de comportamiento entre los grupos c1 y c2 con a1 y a2, donde parece menos grave el impacto de las interrupciones en los primeros, y esto afecta en la comparación con el trabajo en casa
Diferencia de valoración sobre interrupciones en casa según el grupo, donde se ve muy marcada la diferencia entre los grupos a1 y a2 respecto a c1 y c2, tanto en el trabajo como en casa. Elaboración propia

También hay que entender que la edad tiene un valor importante. Quizá la percepción de las interrupciones parezca más grave entre los jóvenes, mientras que los senior pueden ser o menos interrumpidos o menos tolerantes.

Las condiciones organizativas afectan a las interrupciones de trabajo. Aquí tenemos un claro elemento de fricción en los municipios pequeños, entre las personas más jovenes. Diría que por un lado, las administraciones «menos complejas» (con menos personas) aumentan las probabilidades de ser reclamado (hay menos personas a las que reclamar). Las organizaciones más grandes tienden a tener menos interrupciones (posiblemente por una normalización de tareas y espacios).

Incidencia en los aspectos de autogestión

Los tiempos muertos y las horas suplementarias son menores en los perfiles senior. Aquí diría que, si bien un perfil senior pueda estar «más de vuelta» en las horas suplementarias, puede ser que los tiempos muertos entren más en esa «valoración subjetiva» de la que hablaba.

Sin embargo, como decíamos, los menores de 55 años consideran mucho mejor las condiciones en casa en cuanto a las interrupciones y tiempos muertos. Esto contrasta con la carga de horas suplementarias, mucho más relevante en casa. Esto nos plantea dos escenarios, o bien hablamos de que trabajan más en casa, o bien, las interrupciones y tiempos muertos pasan igual, pero no tienen un impacto tan negativo, o, incluso con las interrupciones, en el trabajo se hacen menos horas suplementarias. Esto tendría sentido dado que, si hay que hacerse cargos de menores, es difícil quedarse hasta más tarde, lo que podría también tener impacto en una estructura presencialista.

Comparativa en la que se ve que llas personas con hijos a cargo tienen un mayor uso de horas suplementarias en casa que los que no.
Comparativa de horas suplementarias en casa según género e hijos a cargo, donde se puede observar que las personas con hijos a cargo hacen más horas suplementarias en casa, especialmente las mujeres. Elaboración propia

Al cruzar las variables género y tener hijos a cargo con lo que pasa si tienes interrupciones (que tienes que echar luego más horas), el dato es interesante: quien tiene hijos a cargo (especialmente las mujeres) tienen más horas suplementarias en casa que en el trabajo. Creo que la atención de los hijos no se percibe como «interrupción no deseada» pero genera un impacto en la prolongación de horarios efectiva. Será interesante contrastar esto con el estudio de teletrabajo y género de la Asociación de Mujeres en el Sector Público y ver si apuntala las conclusiones de este otro estudio.

La formación

La formación influye en la capacidad y competencias necesarias para ejercer el teletrabajo. En ellas tratamos:

Gráfica con los datos de valoración de ofimátivca, con un 5 sobre 5 como moda.
Valoración de la formación en ofimática, la única mayoritariamente valorada como muy buena. Elaboración propia
  • Ofimática. Podríamos decir que en términos digitales, la Administración está muy preparada para la ofimática. El nivel formativo es alto (en términos de autovaloración), especialmente en organizaciones grandes (AGE y empresas públicas) con profesionales entre 5 y 15 años de experiencia y entre los varones. Los grupos C tienen una valoración peor de este aspecto, lo que podría ser lógico.
  • Gestión de redes. Un nivel medio o bajo (más bajo que en ofimática) salvo en los casos de autovaloración de conocimiento técnico alto.
  • Seguridad. Es una puntuación aún más baja que en campos anteriores, salvo para aquellos que ya teletrabajaban anteriormente y con valoración alta de los niveles de informática. Es llamativo que, al reves que pasaba con las redes, los jóvenes proporcionalmente sean el perfil que considera «saber menos» quizá por la autopercepción del riesgo. Destaca la pobre valoración en universidad, empresas públicas y administración local.
  • Gestión de proyectos. Aunque en términos generales anda igual de mal que la gestión de redes, hay una localización más fuerte entre personas de mediana edad (40 a 55), gente que teletrabajaba antes y en la AGE y fundaciones.

La formación depende mucho del tamaño de la organización (que posiblemente permita hacer acciones específicas) y, sobre todo, de haber teletrabajado antes. El hecho de que este «exodo digital» haa sido masivo indica que la curva de aprendizaje de estas herramientas estaba en sus etapas iniciales en el estudio. Habrá que observar a medio plazo.

La equipación

Por último pregunté acerca de la aportación de recursos personales para realizar el teletrabajo. La enorme mayoría aporta 3 elementos (móvil, ordenador y conexión a internet), siendo menor el número de personas que aportan impresoras (supongo que porque no tienen que imprimir en su mayoría, no porque las tengan de por si). Esto indica algo ya sabido: la administración sigue primando los equipos de sobremesa, algo que cada vez es menos común en el sector privado. Esta es una concepción muy centrada en el puesto presencial de trabajo y, por lo tanto, cuestiones como subvencionar parte de la conexión de internet (algo más o menos común en otros ámbitos) no sea ni planteable. Solo el sector que ya teletrabajaba hace aportaciones menores de medios.

Comparativa de uso de recursos propios para el teletrabajo por tipo de administración donde se ve que en casi todos los casos se aportan 3 elementos (ordenador, conexión y teléfono).
Distribución de uso de 3 recursos (tercera columna) propios para acceso al teletrabajo en todo tipo de administración, donde sólo organizaciones de tipo empresa pública no tienen ese elemento como mayoritario.Elaboración propia

También destaca la aportación personal de herramientas de mensajería (Whatsapp y demás), lo que no deja de ser interesante porque, por un lado posiblemente sea de lo más usado y más aceptado en este cambio y que, a la vez, puede impactar en cuestiones de seguridad. Posiblemente, un teletrabajo sin Whatsapp hubiera funcionado mucho peor de lo que lo ha hecho, y el conocimiento de las personas de la herramienta lo ha facilitado, sin embargo, es dudoso que pasara los controles de seguridad en condiciones normales.

Menor es la aportación de programas propios. Esto se puede deber a que se usen espacios virtualizados o soluciones en la nube. Solo quienes están acostumbrados a teletrabajar aportan programas propios, posiblemente porque han tenido más tiempo para adaptar su ecosistema.

Solo quien teletrabajaba ha posido usar recursos de la organización y tenía formación para hacerlo. No así la gran mayoría, lo que no deja de presentar inquietudes sobre la seguridad.

Infografía que explica el modelo de condiciones personales y teletrabajo, y los aspectos que influyen en ellas tal y como detalla el artículo.
Infografía que detalla la relación entre las condiciones personales y teletrabajo en las AAPP. Elaboración propia

Conclusiones

Las personas y el teletrabajo

El teletrabajo mejora mucho si eres grupo A, tienes una edad media o avanzada y más aún sin hijos a cargo. Conforme nos alejamos de este perfil, aparecen desigualdades importantes, que afectan tanto a perfiles más jóvenes, como a niveles más bajos. Esto es un tema a tener en cuenta a la hora de valorarlo: quizá el teletrabajo sea una cuestión que beneficie laboralmente a perfiles muy concretos aumentando tanto desigualdad como distanciamiento organizativo (esto lo tendremos que ver cuando hablemos de socialización).

En términos generales, diría que esto es consistentes con este artículo de Nada es gratis acerca del desquilibrio que plantea en términos de igualdad el teletrabajo, ya no sólo como indica, por las condiciones profesionales, sino por las condiciones personales.

Hay que señalar la excepcionalidad de personas de mediana edad, grupos A, que encuentran cierta ventaja en la capacidad de autogestión, pero que tienen problemas con aspectos logísticos y de autonomía relacionados, en parte por la excepcionalidad de tener a los hijos en casa. Aquí habría que estudiar las repercusiones en un escenario con una escolarización «normal».

Por otro lado, la dimensión personal puede generar impactos diferenciados por las condiciones personales relativas al «tele»: hijos, condiciones de la casa… que acaban suponiendo unas condiciones más penosas (espacio y horas suplementarias) si bien con ventajas en lo que se refiere a la autogestión del tiempo, aspecto más importante, precisamente, en niveles superiores. Habrá que observar el impacto que genera en aspectos de coordinación y socialización a medio y largo plazo.

Condiciones personales de teletrabajo y organización pública

Por otro lado, hay que considerar que las condiciones para poder «operar» bien (es decir, equipos informáticos y formación) es algo que no se daba en la mayoría de los casos y que, donde se da, marcan una gran diferencia. Ni las organizaciones tenían recursos para afrontar este escenario, lo que se ha suplido con recursos personales, ni las personas han tenido tiempo de ser formadas para ello.

Esto genera por un lado cuestiones relativas a la seguridad de esta situación. Por el otro, lleva a considerar como dice Rafael Jiménez Asensio y Mikel Gorriti, esta situación de experimental, lo que podemos aprovechar para aprender y hacer algo mejor a partir de lo que vamos aprendiendo.

Comparte este artículo

Acerca del autor

Regístrate y consigue los últimos artículos en tu mail.

Deja un comentario

SUSCRÍBETE AL BOLETÍN DEL BLOG

y recibe novedades y material exclusivo sobre transformación digital en Administraciones Públicas
Analítica Pública usará esta información para mandarte el boletín y actualizaciones puntuales. Del mismo modo, si deseas señalar qué aspectos son los que te interesan de la Transformación Digital, lo tendremos en cuenta para trabajar más en esos campos. También tendremos en cuenta si abres o no los correos y si haces clic en ellos. No es por cotilleo, eso ayuda mucho a la hora de saber qué temas y enfoques son los que interesan y los que hacen que la gente nos regale un poco de su tiempo. En cumplimiento de lo establecido en la Ley Orgánica 15/1999, de 13 de diciembre, de Protección de Datos de Carácter Personal le informamos que sus datos personales quedarán incorporados y serán tratados en los ficheros de Analítica Pública, con el fin de poderle prestar y ofrecer nuestros servicios, así como para informarle sobre novedades y nuevos proyectos en los que se encuentre trabajando la empresa. Le informamos de la posibilidad de que ejerza los derechos de acceso, rectificación, cancelación y oposición de sus datos de carácter personal en info@publilitica.es, mediante la utilización de un correo electrónico conforme se informa en la política de privacidad.»