Volvemos con nuestro estudio de teletrabajo con un segundo bloque. Hasta el momento hemos repasado los aspectos personales que indicen en las condiciones de trabajo. Vamos a analizar la preparación para el teletrabajo a título individual. Para ello analizaremos condiciones y características que hacen que una persona se sienta formada y preparada para teletrabajar. Buscamos resolver es qué aspectos son los que habría que refozar o mejorar para aumentar el teletrabajo y gestionar esas condiciones para que su impacto sea el mejor en las que son favorable y mitigarlo cuando sean desfavorables. Así que, si os venís, tenemos cosas de las que hablar.

Lo que hemos estudiado
Este estudio sigue siendo una encuesta y que, por lo tanto no tenemos medios para valorar objetivamente si la gente está más o menos preparada para el teletrabajo. Lo más a lo que podemos aspirar es a conocer su percepción al respecto.
Para tratar de tener una información lo más controlada posible, hemos articulado una pregunta general «¿Cómo te sientes de preparado o preparada para teletrabajar?». En todo caso, para controlar aspectos más detallados antes hemos preguntado sobre tres bloques:
- Valoración de las gestión personal. Una serie de preguntas sobre la autovaloración acerca de aspectos de gestión personal del trabajo (tareas, horarios, reuniones, carga de trabajo y objetivos)
- Condiciones de la organización. Otro bloque de preguntas se centra en las condiciones que ofrece la organización para realizar el trabajo individual (horarios, fichaje, control de tareas realizadas, comunicación de instrucciones y coordinación con otras personas).
- Recursos facilitados por la organización respecto a equipos, herramientas de software y de virtualización y conexión segura. En este caso no hemos encontrado elementos relevantes.
Tras un análisis exahustivo, hemos agrupado las variables de la preparación para el teletrabajo en 4 tipos de factores:
- Personales
- Laborales
- Estructurales
- Competenciales
En términos generales podemos decir que la autovaloración la formación para el teletrabajo es positiva: ronda una media de 4 sobre 5. Sin embargo, si nos fijamos en el detalle, aprenderemos más.
Aspectos personales de la preparación para el teletrabajo
Los aspectos personales pueden ser los más problemáticos para la organización. La capacidad de gestión de la organización sobre ellos es muy limitada. Por otro lado, posiblemente sean de los que más afectan a la percepción (y a las condiciones) a la hora de trabajar.
Edad: jóvenes más preparados, seniors más adaptados.
El primer bloque que analizamos es el de la edad, dividida en 4 bloques. Vamos a centrarnos en los menores de 65, dado que solo hay 3 casos de personas mayores. Si analizamos nuestros tres bloques nos encontramos con esto:

Hay una relación más consistente entre las condiciones personales y la valoración general. Sin embargo, el dato interesante está en que las personas jóvenes tienen una valoración ligeramente más alta de su preparación. Por otro lado, las condiciones de la organización el orden es justo el inverso: mejor apreciación de las personas conforme aumenta la edad.
En mi opinión esto se debe a una doble socialización y dotación de competencias: las personas jóvenes tienen una socialización más afín al canal digital y al teletrabajo, pero menor en cuanto a los hábitos e instituciones de la organización. Este aspecto que crece con la edad. Esto explicaría que una parte de las condiciones organizativas sean mejor gestionadas (o valoradas) por personas más socializadas en la organización. En todo caso, parece primar la valoración personal, más consistente con la autovaloración general.
Una ligera desventaja para las mujeres
El segundo elemento a analizar en la preparación para el teletrabajo es el género.

Encontramos una consistente diferencia no muy pronunciada en favor de los hombres. Si vamos a una visión más detallada, podemos encontrar que las mujeres muestran una mayor autovaloración en la gestión de horarios y reuniones que los varones, que tienen mejor percepción en coordinación y objetivos.
Una diferencia que es sustancial es que, mientras que las valoraciones individuales son pequeñas (menos de una décima) la autovaloración presenta una diferencia mucho más pronunciada de casi medio punto. Esto puede deberse a que las competencias en las que se sienten más fuertes no tienen tanto peso en el conjunto de la valoración o bien que su propia percepción es peor pese a tener componentes similares.
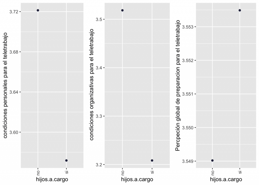
Hijos
Tener personas a cargo es la gran diferencia en este esquema en los componentes separados pero no de la percepción:

Aquí las diferencias son más profundas en cuestiones logísticas ( horarios y tareas) frente a las operativas (objetivos y reuniones). En principio esto sería más o menos lógico: es complicado adaptarse a la gestión del tiempo pero más fácil orientarse a cuestiones finalistas (hacer el trabajo). Vemos que la percepción de la preparación no está intrínsecamente ligada a la valoración individual de las condiciones personales y organizativas: quizá incluso sea un refuerzo (trabajo bien pese a compatibilizar con otras tareas).
Hijos y género: mujeres con hijos a cargo, las peores condiciones
Considerando el impacto del género y del reparto de tareas que ha detectado Bárbara Couto en el estudio de Mujeres en el Sector Público, he querido comprobar cómo afecta esto a la percepción del trabajo.

Aquí nos encontramos con que la auténtica diferencia en la preparación para el teletrabajo (salvo en la valoración personal) recae en tener hijos o no a cargo. Aquí vemos dos cosas:
- Quien tiene hijos a cargo tiene una valoracion competencial y de las condiciones de la organización sistemáticamente peor que quien no los tiene
- Dentro de esto, las diferencias entre hombres y mujeres con hijos a cargo son más pronunciadas que entre hombres y mujeres sin hijos a cargo. Siendo la variable más fuerte tener hijos a cargo, el género tiene un efecto multiplicador de esta diferencia.
Esto coincide, como hemos visto, con la autovaloración es peor entre las mujeres que entre los hombres, includas las mujeres sin hijos a cargo frente a varones con hijos a cargo. Esto podría apuntar a una autopercepción general más negativa entre las mujeres.
Aspectos Laborales técnicos y experimentados.
Un segundo eje es el laboral, que afecta a la antigüedad y el cuerpo al que pertenecen las personas encuestadas.
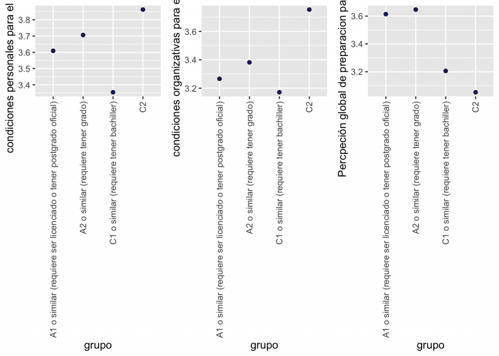
Grupos: mejor para perfiles técnicos.
Una cuestión que cabría pensar es que los grupos A1, teniendo más formación deberían tener una preparación más alta. Sin embargo, esto no es así (o tan así). Al comparar nos encontramos que los perfiles A2 tienen estiman una mejor preparación para el teletrabajo en los tres ámbitos que estamos comparando (excluimos los C2 que son muy pocos casos).

Esto se debe, analizando datos a dos cuestiones: los grupos A2 tienen una mejor valoración en casi todas sus competencias menos en la gestión de reuniones. Los grupos A1 tienen problemas importantes en horarios y tareas . Los grupos C1 tienen una valoración especialmente baja en lo que se refiere a las condiciones de la organización, sobre todo con el registro de tareas.
En principio esto nos da que pensar que el teletrabajo no sólo es una cuestión de competencias, sino, además, de funciones. Esto puede suscitar algunas cuestiones acerca de cómo compatibilizar perfiles que trabajan mejor de manera autónoma con perfiles que precisan más del contacto y comunicación fluida. Además, no todos los perfiles tienen un escenario de gestión tan «virtualizable». El control de tareas es más sencillo con una orientación a objetivos que por tareas (lo que es más común en grupos C)
Antigüedad: la experiencia no significa mejor valoración.
En términos de antigüedad seguimos una estructura relativamente parecida a la de la edad: mejor valoración de perfiles con más antigüedad de la organización, valoraciones más altas en gente con menos experiencia.

Pese a tener peores indicadores en valoración de tareas y de la organización, las personas con menos antigüedad son las que tienen una percepción más alta de preparación para el teletrabajo.
Hay una mayor distribución de equipos de teletrabajo entre los perfiles más senior (ordenador, móvil y programas) frente a otros perfiles, diferencia que no es tan alta en intangibles (virtualización y otro software). En todo caso, los perfiles con menos experiencia tienen una anomalía al tener más personas con 3 recursos que con 2 (generalmente los que tienen 2 son solo ordenador y programas)

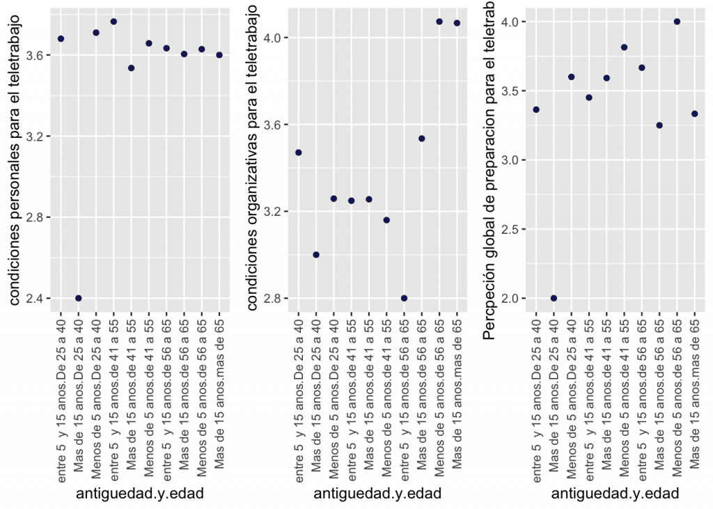
Edad y antigüedad: la experiencia facilita la adaptación, la novedad la resiliencia
Un cruce lógico es antigüedad y experiencia en la organización. En términos de autovaloración los datos son muy homogéneos (solo tenemos una persona de más de 15 años entre 25 y 40). Sin embargo, en cuanto a la organización, quitando los perfiles mas junior (menores de 40 entre 5 y 15 años de antigüedad), la valoración es peor entre los más jóvenes y mejora con la edad, lo que apunta a la socialización y, posiblemente, a una mayor aceptación de los elementos tecnológicos).

Lo que resulta igualmente interesante es como el sector entre 41 y 55 años tiene unas puntuaciones como colectivo más alto en general, pero que si miramos gente con menos de 5 años de antigüedad en todos los tramos, la autovaloración es más alta que en otros casos, quizá por una mayor apertura al cambio.
En resumen, podemos decir que si bien la edad facilita la asimilación de los recursos de la organización, es la «novedad» en el entorno el factor que incide más en la autovaloración de la adaptación al nuevo escenario.
Aspectos estructurales:
Tipo y tamaño de administración: mejor gestión en organizaciones medianas, más medios en administraciones tradicionales
Aquí tratamos el tipo de administración y el tamaño del municipio suponiendo que, en parte, puede ser un indicador del tamaño de la organización.
En primer lugar encontramos que los municipios pequeños parecen tener unas condiciones tanto individuales como organizativas muy bajas. Por otro lado, igual que vimos en los aspectos personales, los municipios medianos (entre 220 y 75000 habitantes) tienen una valoración positiva de la organización y de las propias competencias, mientras que la puntuaci´no de municipios más grandes es más baja. En mi opinión, el tamaño «mediano» de administraciones de estas dimensiones (más grandes que los municipios pequeños, pero lejos de grandes estructuras) facilitan la gestión.

Sin embargo, es más interesante que, tal y como hemos visto en otros casos (antigüedad en la organización o género, por ejemplo), la autovaloración general es distinta a la suma de las partes. En este caso, los pequeños municipios son los que tienen la mejor autovaloración.
Por otro lado nos encontramos con aspectos interesantes al ver que las administraciones más «convencionales» (AGE, CCAA y local) tienen puntuaciones similares en valoración personal y organización. Organizaciones como fundaciones o empresas públicas tienen una alta valoración de competencias y unas condiciones especialmente malas.

En mi opinión posiblemente la dificultad de estas organizaciones a responder a un cambio tan grande como el del Estado de Alarma frente a Administraciones más convencionales, penaliza su capacidad de crear estructuras válidas de teletrabajo.
Diría, y esto es una conjetura, que las pequeñas administraciones son ágiles para el cambio, pero tienen problemas para digerir las catástrofes.
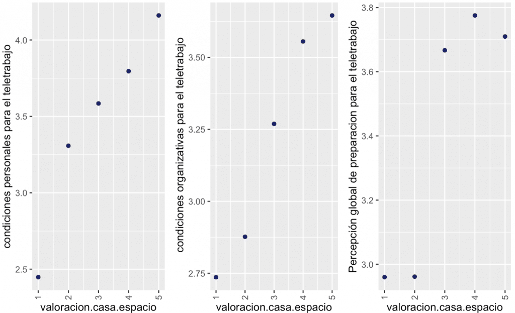
Espacio de trabajo: sin un buen espacio, no hay un buen teletrabajo
Otro indicador que queríamos tener en cuenta era el espacio de trabajo y la valoración del teletrabajo. Consideramos que es un indicador importante, dado que el espacio de trabajo se relaciona directamente con la capacidad de concentración y dedicación de cada persona

Evidentemente hay una correlación altamente estrecha entre ambas dimensiones, con todo lo que acarrea: las personas con ingresos más bajos, o con menos espacio en casa tendrán muchas más dificultades para ejercer el teletrabajo, lo que afecta en su propia valoración. Esto sería consistente, además con la adscripción a grupos con remuneraciones más bajas o ciudades con un coste más alto del suelo.
Teletrabajo previo: la experiencia es un grado, pero ¿de qué?
Un tema a tener en cuenta es que el teletrabajo supone un cambio profundo y que, por lo tanto, supone un aprendizaje. Es por eso que hemos cruzado la autovaloración con el teletrabajo previo con los siguientes resultados.

Podemos encontrar una clara relación entre la experiencia en teletrabajo (ocasional o, especialmente, habitual) con quien no la tiene. Esto supone que las diferencias, aunque menores en la valoración de la organización (hay un espacio de 0,25 puntos entre los dos extremos) y la individual (0,4), es en la autovaloración es muy diferente: entre quien trabajaba antes (4,5) y quien no lo hacía (3,25) hay una enorme distancia.
Aquí la duda está en si hablamos de una causalidad o de una codependencia. Puede ser que, efectivamente, la experiencia en el teletrabajo permita un desempeño más eficaz, pero también puede ser que quien ya teletrabajaba lo hacía porque o sus competencias o su puesto tiene una mayor «teletrabajabilidad» y, por lo tanto, la transición es más sencilla.
En este caso, quedamos a la espera de la segunda vuelta en unos meses a ver si tenemos alguna variación.
Aspectos competenciales
Un último punto se refiere a las competencias previas o condicionantes al teletrabajo. Estamos valorando si la gente se ve capacitada para ejercer el teletrabajo, pero queremos saber si su conocimiento del uso tecnológico (evidente) y de la formación específica (sobre la que preguntamos anteriormente) influye en esta percepción.
Formación
Respecto a la formación, preguntamos acerca de formación en:
- ofimática
- gestión de redes
- seguridad
- gestión de proyectos y trabajo en equipo
- ofimática
- herramientas corporativas
Pues bien, tras un cruce de la correlación entre cada una de estas variables y la autovaloración encontramos que hay una correlación más bien común de entre 0,4 y 0,5. Es decir hay una cierta correlación entre tener formación en cada uno de esos ámbitos y la preparación para el teletrabajo. Sin embargo, donde encontramos una correlación más fuerte es en la ofimática y no en la gestión de proyectos.
En mi opinión, la cuestión está en que mientras que redes y seguridad son aspectos menos visibles y la gestión de proyectos afecta solo a determinados perfiles, la ofimática y las herramientas corporativas (los dos valores más altos) son comunes y muy perceptibles. Uno puede no percibir que tiene actitudes inseguras, pero con toda probabilidad se dará cuenta de que no sabe hacer una tabla dinámica en excel y no tiene a quién preguntar.
Competencias tecnológicas
Un último apartado es la relación entre la autopercepción tecnológica y la valoración del teletrabajo. Aquí tenemos estos datos

En primer lugar, hay que excluir los dos casos de «no me apaño nada». Más allá de esto vemos una relación estrecha entre la capacidad tecnológica y todas las variables, siendo más grande la diferencia en las competencias personales (que llega a 1,5 puntos entre «lo justo» y «soy un pro») que en las de la organización ( que no llega a una décima). En este caso vemos que la percepción de la capacidad tecnológica tiene un peso más alto la valoración de las capacidades individuales y que esto se refleja de manera importante en la autovaloración de la preparación del teletrabajo.

Conclusiones
Después de todo esto ¿Qué podemos decir? Que el teletrabajo es un fenómeno complejo que, en el plano individual está marcado por las competencias individuales y las herramientas que facilita la organización.
Resumen
Hay, en todo caso, una serie de cuestiones que parecen afectar en esta relación:
- En el plano personal, la edad juega un papel débil en el que las personas más jóvenes se consideran más preparadas, si bien menos adaptadas a los recursos organizativos para el teletrabajo. Tener personas a cargo es la que tiene una correlación más fuerte: quien tiene alguien a quien cuidar tiene una percepción de estar peor preparada. El género tiene un efecto multiplicador en esta diferencia.
- En el plano profesional la antigüedad tiene una relación importante dado que permite una mayor adaptación a los entornos organizativos pero peor percepción respecto a la valoración de competencias y autopreparación. Los grupos A1 parecen tener peor capacidad que los A2, suponemos que porque sus tareas requieren una mayor vertiente relacional que se hace compleja en un entorno totalmente virtual.
- Las cuestiones estructurales parecen primar administraciones presumiblemente de tamaño mediano para facilitar la transición, si bien los pequeños municipios presentan una percepción altísima. Organizaciones que tienen mecanismos de mayor flexibilidad para la contratación (fundaciones, empresas públicas) presentan perfiles a priori con más preparación pero peor disponibilidad de medios. La capacidad de las AAPP para adquirir recursos rápido con el Estado de Alarma ha influido de manera importante. Existe una relación muy estrecha entre la calidad del espacio personal y la valoración de la preparación. Esto afectará a sectores con menor poder adquisitivo o con hijos. El teletrabajo previo es otro elemento distintivo, si bien es pronto para saber si es la causa o si es una relación.
- La formación juega un papel crítico. Esto es especialmente así en los aspectos más utilitarios (herramientas corporativas y ofimática). No obstante, el punto que juego un papel más relevante es la competencia digital: a mayor competencia, mayor valoración.
La importancia de la subjetividad
Una de las cosas que aprendes cuando llevas bastantes encuestas es que el todo y la parte no tienen por qué coincidir. Hemos encontrado varios casos en los que peores valoraciones de cada aspecto no es consistente con la valoración general. Las personas con menos experiencia en la organización, mujeres (sobre todo sin hijos) o personas que trabajan en pequeños municipios, son una muestra clara.
El teletrabajo es un cambio sustancial en el que aspectos como la socialización, la confianza en el cambio o el entorno personal influyen y no se separan fácilmente. Es decir: hay motivos por los que una valoración de su conjunto (que no deja de ser una sensación) sea diferente que cada elemento. Esto entra en coherencia con estudios clásicos como los de la escuela de las relaciones humanas: el cambio beneficia la productividad, especialmente en ciertos perfiles. Ahora bien, la misma escuela considera que parte de ese efecto es limitado en el tiempo.
Alguna recomendación
Visto lo visto, diría que, para hacer un teletrabajo que beneficioso para organizaciones y personas, deberíamos:
- Potenciar la formación operativa y tecnológica de todos los perfiles.
- Mejorar las herramientas internas de tipo corporativo (peor valoradas que las competencias).
- No asociar la cuestión del teletrabajo a la conciliación o a la gestión de cuidado de personas.
- Impulsar proyectos o medidas a nivel mediano en lo que se refiere a la gestión de proyectos. Gestionar la adquisición de recursos y herramientas a una escala suficiente que permita la suficiencia de medios.
- Mantener la socialización digital, dado que los sectores más socializados se ven menos preparados y, a su vez, puede que los menos socializados no realicen un proceso que forma parte de la cultura organizativa
- Cuidar el efecto psicológico y autovalorativo de las personas. Reforzar criterios de medición, fijación de objetivos y tareas que permitan medir los avances.
Proximamente, hablaremos de los aspectos de trabajo en equipo.