La ayuda en servicios digitales

Retomamos tras unos meses el estudio sobre el uso de servicios digitales durante el confinamiento. Como vimos en su momento el consumo del canal digital había crecido ante la imposibilidad de usar otros canales. Esta circunstancia fue la misma para todo el mundo, supieran más o menos del uso de las tecnologías digitales. Esto nos ofrece la ocasión de ver de manera generalizada la posible necesidad de ayuda de la gente y en qué términos se necesita esta ayuda. Esto nos ofrece la ocasión ideal para tener una idea de qué tipo de brecha digital encontramos y de cómo pueden enfrentarla las AAPP. ¿Quieres ver cómo lo hemos hecho?

El retablo de la vida de San Expedito ilustra este artículo sobre la ayuda en la eAdministración
San Expedito, patrón de las soluciones rápidas, en un tutorial para la solicitud de ayuda para autónomos. Fuente.

Lo que queríamos saber sobre la ayuda en los trámites digitales

Como decía, quería aprovechar la ocasión de que prácticamente todo el mundo tuviera que hacer trámites digitales. Normalmente no tenemos una idea de lo que significa en verdad la brecha digital por dos condicionantes:

  • La brecha no es tan severa en la medida en la que mucha gente directamente está «fuera del mercado». Es decir, hay una brecha que, pese a estar ahí, es invisible o irrelevante ante los mecanismos alternativos de gestión.
  • El esfuerzo de superar la brecha es quizá menor ante la disponibilidad de estos canales alternativos.

En este caso ni la extensión de esa brecha (cuántas necesitan ayuda) ni su profundidad (cuánta ayuda necesitan) están latentes. Por eso lanzamos una serie de preguntas al respecto, pero, dada la naturaleza del blog no esperaba demasiadas respuestas de gente afectada de la brecha. Solo contamos con respuestas de lectores del blog. Lo que queríamos saber era:

  • Cuanta gente ha necesitado ayuda. Esto nos da más pistas que, la valoración que hace la gente de conocimiento tecnológico que tiene y le añade el desconocimiento funcional (los problemas de entendibilidad)
  • Las causas de los problemas
  • A quién recurren
  • Cómo se ha ayudado
  • Si esta ayuda ha sido un simple fenómeno instrumental (ha sacado la cosa adelante) o ha aumentado las competencias de la persona asistida.

El propósito es tener una visión más clara de cómo podemos hacer mejores servicios digitales y cómo mejorar los sistemas de asistencia en la tramitación.

Cuántas personas necesitan ayuda y por qué.

La gran mayoría de las personas que respondieron a la escuesta han tenido que asistir a alguien en los primeros meses del confinamiento. De las más de 120 personas que participaron,

cerca de 80 personas ayudaron mientras que poco más de 30 no tuvieron que hacerlo.
Personas que han ayudado a alguien con sus trámites en el confinamiento. Elaboración propia

Es decir, en solo un par de meses de confinamiento, al menos casi 2 de cada 3 personas asistieron al menos a otra más para hacer un trámite.Si consideramos que según el INE en 2020 el 93% de la población se conectó a Internet, podemos decir que , desde luego, saber acceder a Internet no es suficiente para hacer trámites on-line.

Gracias a la expansión de los smartphones, el acceso a Internet está muy generalizado. Así que podemos descartar que estas dificultades se deban generalmente a una brecha digital «dura», que podríamos llamar de falta de conectividad. En todo caso, si vemos las causas de solicitar ayuda tenemos:

Más de 50 casos se deben a la falta de conocimientos técnicos, seguido de en torno a 10 que aducían desconfianza o falta de medios y solo uno no carecía de equipos.
Motivos de petición de ayuda. Elaboración propia

Es decir, la brecha digital se deriva de la falta de competencias técnicas. La cuestión es si esa carencia se debe a unos requisitos competenciales altos o a falta de competencias mínimas. Para eso vamos al siguiente bloque.

¿Quién ayuda a hacer trámites digitales?

Aquí tenemos dos maneras de identificar a quién ayuda. En primer lugar, qué aspectos identificativos tienen las personas que ayudan más. En segundo lugar, qué relación tienen con las personas que ayudan.

LAs personas que ayudan más son:

  • Mujeres
  • En activo
  • Trabajando en el sector público
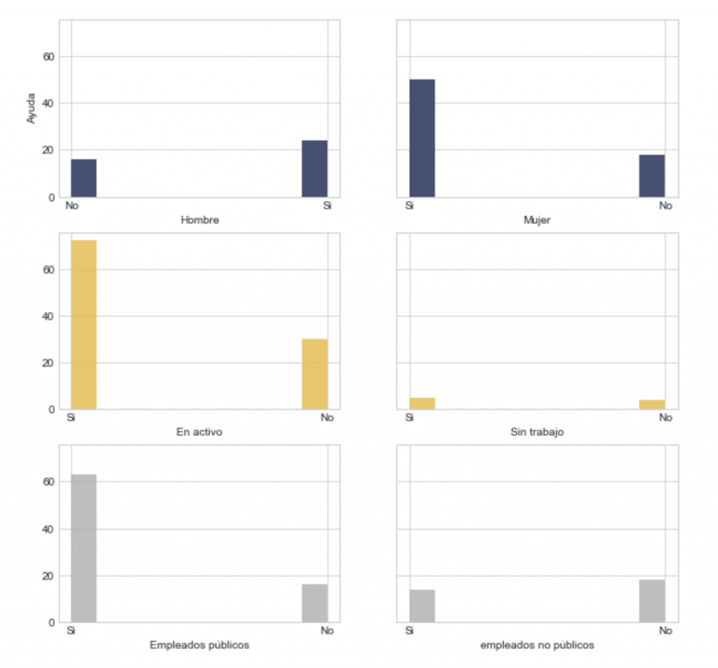
Se puede observar que la proporción de mujeres que ayudan es más alta que la de varones, así como de personas en activo y gente que trabaja en el sector público.
Perfiles sociodemográficos de quién ayuda. Fuente

A esto se suma que las personas más jóvenes ayudan menos y que tener competencias tecnológicas medias o altas no marca una gran diferencia.

Se observa que las personas jóvenes ayudan menos y que la proporción de ayuda de personas con conocimientos medios y altos son similares.
Aspectos de edad y competenciales de quienes ayudan. Elaboración propia.

Esto indica que no son problemas muy complicados y que, posiblemente, las personas que necesitan ayuda no están en los grupos de edad más avanzado. Es decir, una persona ayuda a gente de más o menos su edad o familiares algo mayores. Los menores son suscpetibles de ayudar a gente de menor edad que las personas de más de 41 años.

En todo caso, la relación de ayuda suele recaer en el espacio privado.

LA práctica totalidad de ayuda es a amigos o familiares (más de 50) mientras que ayudas a vecinos es superior a 10 casos y ayuda profesional o a través de RRSS es la menor.
Relación con la persona a la que se auda. Elaboración propia

Se pide ayuda a las personas más próximas, en gran medida por la confianza pero también porque se estaba encerrado. Esto es algo común por género, edad o conocimientos técnicos. Llama la atención que la ayuda menos empleada sea con ciudadanos, dado que el público del blog es principalmente público. En todo caso, diría que hay pocos mecanismos de buscar ayuda en la mayoría de las webs públicas, al menos persona a persona, lo que no deja de ser un círculo cerrado. No puedes hacer algo porque necesitas ayuda con los cacharros, pero para resolverlo en la web solo disponibles de un cacharro.

Podemos decir que:

  • No se necesita una capacitación especialmente alta para ayudar
  • Se recurre a la ayuda de quien se confía
  • Mayoritariamente ayudan mujeres y personas que trabajan en sector público.
  • Es posible que los perfiles que requieren más ayuda sean las personas mayores.

¿Cómo se ayuda a la gente en la tramitación?

A la hora de ayudar hemos trabajado con diferentes niveles de interacción:

  • Facilitar el instrumento para realizarlo
  • Explicación básica
  • Guía sobre los pasos
  • Realización del trámite en su lugar
  • Otros mecanismos
Los niveles medios de ayuda (explicación y guía) son los más frecuentes, seguidos de la realización del trámite en nombre de. La prestación de recursos u otros mecanismos tienen un uso marginal.
Mecanismos de ayuda. Fuente.

Encontramos que lo más frecuente es la explicación de cómo hacerlo o una especie de tutela ordenada sobre los pasos a seguir, que aporta más detalle. Hay un nivel bajo de trámites en su lugar, mecanismo muy usado, por ejemplo en EEUU, entiendo que por las limitaciones de movilidad junto a la necesidad de tener que usar mecanismos de identificación «fuertes» que hacen difícil hacer algo por otra persona si no estás en el mismo equipo. Si no sabes hace un trámite, difícilmente sabrás exportar un certificado digital para enviarlo por correo.

Vemos que la explicación y la realización por otros solo tienen valores relevantes en amigos y familiares. El caso de desconocidos o vecnios optan más por la guía.
Mecanismos de ayuda en función de relación.

Esto se afianza con el hecho de que solo se ha realizado trámites por otros de manera significativa cuando se trata de la familia, lo que requiere más confianza. La explicación también es más alta, posiblemente porque la explicación es un primer nivel de interacción con quien convives y, si no sale, asciendes a la guía y a la sustitución. Sin embargo, en los casos en los que la relación es menos de confianza o no es en el mismo espacio, se opta por una guía detallada por pasos.

Enbcontramos una distribución similar entre ayuda, guía y realización por otra persona en todos los tipos de problema.
Modo de ayuda según el tipo de problema. Elaboración propia

Si vamos a competencias vemos que cuanto más altas son, más se opta por realizar el trámite en nombre de otras personas. Cuantas más competencias se tienen, más interacción e implicación hay con la resolución del problema.

Las personas con competencias altas tienden a hacer más guías o ayudas en nombre de, mientras que las medias tienden a la explicación.
Modo de ayuda según las competencias

Podemos ver que el comportamiento es similar sea cual sea la causa del problema.

Es decir:

  • La ayuda es más frecuente cuando hay confianza.
  • El mecanismo de ayuda no depende especialmente de la naturaleza del problema.
  • Cuanta mayor es la confianza mas gradual es la asignación de ayuda: se empieza en la explicación, se avanza por la guía y, si es necesario se hace en nombre de esa persona.
  • Las personas con más competencias hacen ayudas más interactivas, posiblemente por tener más seguridad

¿Es la ayuda un modo de aprendizaje?

Se dice mucho acerca de enseñar a pescar o dar un pescado para acabar con el hambre. En el caso de la ayuda en la tramitación digital, tenemos el mismo dilema ¿de qué manera la ayuda hace que demos a la gente medios para vivir en este nuevo mundo? Preguntamos a la gente si, en su opinión, las personas a las que habían ayudado en el futuro tendrían más probabilidades de hacer los trámites por si solas.

La mitad de las personas necesitarían alguna ayuda, pero menos que en su primer intento, un tercio aproximadamente se bastaría por si misma y solo un 15% (aprox) necesitarían la misma ayuda
Capacidad de realizar trámites en el futuro. Elaboración propia

Como podemos ver, la ayuda es una capacitación en su mayoría parcial. Las personas asistidas en el futuro seguirán necesitando asistencia, pero posbilemente en menor intensidad que antes. Un tercio podrían hacer el trámite solas y una parte minoritaria, pero significativa estarían en igual situación que al inicio.

En este caso nos encontramos con dos cuestiones importantes. Por un lado, la gente que necesitará menos ayuda ¿Se debe a que la primera asistencia no ha sido lo suficientemente efectiva, o es cuestión de que la relación entre esas personas e interfaces nunca será suficiente?

Como sabemos que las personas más próximas escalonan más la ayuda, pero hacen ayudas más profundas, una buena idea es mirar la relación entre la relación con la persona asistida y este aprendizaje

Las personas que necesitaran menos ayuda son las más frecuentes cuando hay una relación personal, pero son más las que serán autónomas cuando la relación es menos personal
Aprendizaje en función de los perfiles. Fuente

La proporción entre «han aprendido algo» y «serán autónomos» son similares en las relaciones más o menos personales. No obstante, en lo que respecta a los ciudadanos y desconocidos la proporción de futuros autónomos será más alta. En mi opinión esto se debe a que también este último grupo tenía más volumen de personas que desconfiaban de la tecnología o los medios. Sería lógico pensar que en una lógica no operativa, sino de confianza, una relación personal con la administración es más efectiva que una relación personal. Mi madre, cuando me mandaba a hacer un trámite me decía » ¿pero qué te ha dicho el señor?» y esto es, básicamente lo mismo. Esto lo confirmamos cuando vemos la causa de la ayuda.

La proporción entre necesitar menos ayuda y ser autónomo en el futuro es más alta para la falta de datos técnicos y menor en la falta de mecanismos de identificación o la desconfianza.
Aprendizaje en función de la causa de la ayuda. Elaboración propia

Es decir: la autonomía es un resultado mucho más probable en los casos en los que la causa es un problema instrumental o de confianza, pero no tiene buenos resultados en las cuestiones técnicas. Pero, incluso siendo así, ¿qué hace que tengamos más probabilidad de empoderar a la ciudadanía cuando se le presta auda?

Las personas que han recbido una explicación tienen una mayor probabilidad de valerse por si mismas en el futuro que las que han recibido guías paso a paso
Aprendizaje en función del mecanismo de ayuda

Vemos que, en todo caso, siendo más habitual la necesidad de menos ayuda en el futuro, la proporción de personas que serán autónomas es más alta cuando han recibido una explicación que cuando han sido guiadas paso a paso. Esto, de nuevo, es algo consistente con la experiencia: mientras que una explicaciónexige la interiorización del proceso y la reproducción autónoma (lo hice y lo aprendí) una guía próxima supone una realización casi instrumental a ciegas.

En todo caso, hay que considerar que, como hemos visto, las causas y las condiciones tienen un valor explicativo del mecanismo elegido. Es posible facilitar a alguien el aprendizaje con unas competencias mínimas o problemas instrumentales o de confianza, pero sería inútil para personas con competencias muy bajas o para procesos más complejos. En resumen:

  • Las personas recurren a ayuda «profesional» en cuestiones más bien técnicas o de confianza.
  • Los problemas de confianza o de falta de medios concretos, como certificados, generan una resolución que suele generar una autonomía en el futuro.
  • En el caso de la falta de competencias técnicas, la autonomía en el futuro es menor, aunque se asimilan competencias en la mayoría de los casos.
Infografía que resume los hallazgos del artículo
Infografía que resume los datos del artículo

Lo que nos dice la ayuda de la brecha digital

Con todo esto, hay una serie de cosas que podemos señalar sobre cómo mejorar la inclusión digital. En primer lugar, las cifras de brecha digital de algún tipo parecen más altas de lo que podríamos suponer según los datos oficiales. 2 de cada 3 personas que han hecho la encuesta han tenido que ayudar. Mayoritariamente se opta por personas en el círculo próximo, siendo más relevante la asistencia prestada por mujeres y personas del sector público. Posiblemente estas necesidades de ayuda estén relacionadas con la edad, como indica que sean las personas más jóvenes las que han tenido menos ocasiones de ayudar.

Las causas son en una abrumadora mayoría relacionadas con aspectos técnicos, pero no parecen tener una complejidad alta. Cuestiones minoritarias como la falta de confianza o mecanismos de identificación se resuelven más por vías profesionales y ofrecen una mayor capacitación a largo plazo. Sin embargo, en el plano técnico, se suele optar por mecanismos más «proactivos» como la guía paso a paso, o realizar los trámites como proxi. Estas opciones tienen una capacidad formadora más limitada que una explicación clara y detallada de como hacerlo.

Diría que la brecha digital es más alta de lo que esperamos y que afecta a cuestiones no muy difíciles. Es normal que se opte más por la ayuda de familiares, pero eso deja dudas acerca de las personas que no tienen quien les ayude. En princio diría, tanto por los datos como por experiencia, que la atención on line debería mejorarse, dado que puede ofrecer ayuda en primera línea y hacerlo de manera más eficaz, incluso siendo algo más limitada de alcance. Por otro lado, en caso de ofrecer ayuda, siempre que sea posible, hay que optar por un modelo escalonado: de la explicación, a la guía interactiva hasta, finalmente la representación.

El cambio de las oficinas de registro por oficinas de atención ciudadana son un paso fundamental para las personas con más dificultades. El problema, en mi opinión, está en todos esos casos que tienen conexión a internet y conocimientos limitados que podrían aprender mucho más con diseños más simples y claros, dado que vemos que personas con conocimientos medios han podido ayudar sin problemas a su resolución. Más sencillez y más apoyos es la mejor manera de hacer más ciudadanía digital.

Comparte este artículo

Acerca del autor

Regístrate y consigue los últimos artículos en tu mail.

Deja un comentario

SUSCRÍBETE AL BOLETÍN DEL BLOG

y recibe novedades y material exclusivo sobre transformación digital en Administraciones Públicas
Analítica Pública usará esta información para mandarte el boletín y actualizaciones puntuales. Del mismo modo, si deseas señalar qué aspectos son los que te interesan de la Transformación Digital, lo tendremos en cuenta para trabajar más en esos campos. También tendremos en cuenta si abres o no los correos y si haces clic en ellos. No es por cotilleo, eso ayuda mucho a la hora de saber qué temas y enfoques son los que interesan y los que hacen que la gente nos regale un poco de su tiempo. En cumplimiento de lo establecido en la Ley Orgánica 15/1999, de 13 de diciembre, de Protección de Datos de Carácter Personal le informamos que sus datos personales quedarán incorporados y serán tratados en los ficheros de Analítica Pública, con el fin de poderle prestar y ofrecer nuestros servicios, así como para informarle sobre novedades y nuevos proyectos en los que se encuentre trabajando la empresa. Le informamos de la posibilidad de que ejerza los derechos de acceso, rectificación, cancelación y oposición de sus datos de carácter personal en info@publilitica.es, mediante la utilización de un correo electrónico conforme se informa en la política de privacidad.»